College Transfer Report Uchicago . Web transfer students are required to submit a college/transfer report indicating their academic standing at their current or most. Web learn how to apply to transfer to the university of chicago, a highly selective institution with a low acceptance rate of 13.6%. Web learn how the university of chicago evaluates and grants transfer credit for students who transfer from another institution. Find out the deadlines, requirements, essays, and tips for a successful transfer application. Web learn how to get transfer credit for courses from an accredited institution that grants bachelor's degrees.
from www.wisconsin.edu
Web learn how the university of chicago evaluates and grants transfer credit for students who transfer from another institution. Web transfer students are required to submit a college/transfer report indicating their academic standing at their current or most. Web learn how to get transfer credit for courses from an accredited institution that grants bachelor's degrees. Find out the deadlines, requirements, essays, and tips for a successful transfer application. Web learn how to apply to transfer to the university of chicago, a highly selective institution with a low acceptance rate of 13.6%.
Interpreting your Transfer Report Transfer Wisconsin
College Transfer Report Uchicago Web transfer students are required to submit a college/transfer report indicating their academic standing at their current or most. Web learn how to get transfer credit for courses from an accredited institution that grants bachelor's degrees. Web learn how to apply to transfer to the university of chicago, a highly selective institution with a low acceptance rate of 13.6%. Find out the deadlines, requirements, essays, and tips for a successful transfer application. Web transfer students are required to submit a college/transfer report indicating their academic standing at their current or most. Web learn how the university of chicago evaluates and grants transfer credit for students who transfer from another institution.
From www.youtube.com
UCHICAGO TRANSFER Why I Transferred to UChicago & Chose UChicago Over College Transfer Report Uchicago Web learn how to get transfer credit for courses from an accredited institution that grants bachelor's degrees. Web transfer students are required to submit a college/transfer report indicating their academic standing at their current or most. Find out the deadlines, requirements, essays, and tips for a successful transfer application. Web learn how to apply to transfer to the university of. College Transfer Report Uchicago.
From www.collegetransitions.com
UChicago Transfer Acceptance Rate and Requirements — 2024 College College Transfer Report Uchicago Web learn how the university of chicago evaluates and grants transfer credit for students who transfer from another institution. Find out the deadlines, requirements, essays, and tips for a successful transfer application. Web transfer students are required to submit a college/transfer report indicating their academic standing at their current or most. Web learn how to get transfer credit for courses. College Transfer Report Uchicago.
From cacollegetransfer.com
UC Transfer Rates by College CA College Transfer College Transfer Report Uchicago Web learn how to apply to transfer to the university of chicago, a highly selective institution with a low acceptance rate of 13.6%. Find out the deadlines, requirements, essays, and tips for a successful transfer application. Web transfer students are required to submit a college/transfer report indicating their academic standing at their current or most. Web learn how the university. College Transfer Report Uchicago.
From en.korpungun.com
University Transfer in U.S.A. Study In U.S.A. College transfer to College Transfer Report Uchicago Web learn how the university of chicago evaluates and grants transfer credit for students who transfer from another institution. Web transfer students are required to submit a college/transfer report indicating their academic standing at their current or most. Web learn how to apply to transfer to the university of chicago, a highly selective institution with a low acceptance rate of. College Transfer Report Uchicago.
From myresult9166.blogspot.com
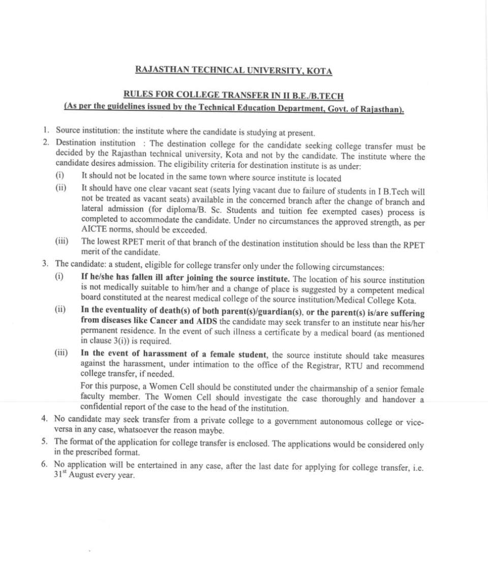
Rtu college transfer , condition for college transfer and other College Transfer Report Uchicago Web learn how the university of chicago evaluates and grants transfer credit for students who transfer from another institution. Web learn how to get transfer credit for courses from an accredited institution that grants bachelor's degrees. Find out the deadlines, requirements, essays, and tips for a successful transfer application. Web learn how to apply to transfer to the university of. College Transfer Report Uchicago.
From student-tutor.com
How to Get Into University of Chicago Admissions Requirements College Transfer Report Uchicago Web learn how to get transfer credit for courses from an accredited institution that grants bachelor's degrees. Find out the deadlines, requirements, essays, and tips for a successful transfer application. Web transfer students are required to submit a college/transfer report indicating their academic standing at their current or most. Web learn how to apply to transfer to the university of. College Transfer Report Uchicago.
From www.collegeessayguy.com
US Community College Transfer Policy Database, By State College Transfer Report Uchicago Web learn how to get transfer credit for courses from an accredited institution that grants bachelor's degrees. Web transfer students are required to submit a college/transfer report indicating their academic standing at their current or most. Web learn how to apply to transfer to the university of chicago, a highly selective institution with a low acceptance rate of 13.6%. Find. College Transfer Report Uchicago.
From issuu.com
Sample College Transfer Essay by Steps To Writing A Paper Issuu College Transfer Report Uchicago Web learn how to get transfer credit for courses from an accredited institution that grants bachelor's degrees. Web transfer students are required to submit a college/transfer report indicating their academic standing at their current or most. Find out the deadlines, requirements, essays, and tips for a successful transfer application. Web learn how to apply to transfer to the university of. College Transfer Report Uchicago.
From www.studocu.com
College transfer essay Having an undergraduate degree means more than College Transfer Report Uchicago Web learn how to get transfer credit for courses from an accredited institution that grants bachelor's degrees. Find out the deadlines, requirements, essays, and tips for a successful transfer application. Web transfer students are required to submit a college/transfer report indicating their academic standing at their current or most. Web learn how to apply to transfer to the university of. College Transfer Report Uchicago.
From yourguidetocollegetransfer.org
Your 2019 Guide to College Transfer Your Guide to College Transfer College Transfer Report Uchicago Web learn how to get transfer credit for courses from an accredited institution that grants bachelor's degrees. Web transfer students are required to submit a college/transfer report indicating their academic standing at their current or most. Web learn how the university of chicago evaluates and grants transfer credit for students who transfer from another institution. Web learn how to apply. College Transfer Report Uchicago.
From www.slideserve.com
PPT Transfer Student Data PowerPoint Presentation, free download ID College Transfer Report Uchicago Find out the deadlines, requirements, essays, and tips for a successful transfer application. Web learn how the university of chicago evaluates and grants transfer credit for students who transfer from another institution. Web learn how to get transfer credit for courses from an accredited institution that grants bachelor's degrees. Web transfer students are required to submit a college/transfer report indicating. College Transfer Report Uchicago.
From uei.uchicago.edu
New state report cards highlight UChicago Charter School's college College Transfer Report Uchicago Web learn how the university of chicago evaluates and grants transfer credit for students who transfer from another institution. Web learn how to apply to transfer to the university of chicago, a highly selective institution with a low acceptance rate of 13.6%. Web learn how to get transfer credit for courses from an accredited institution that grants bachelor's degrees. Find. College Transfer Report Uchicago.
From www.youtube.com
2021 Community College transfer My Experience Transfer Process College Transfer Report Uchicago Web transfer students are required to submit a college/transfer report indicating their academic standing at their current or most. Web learn how to get transfer credit for courses from an accredited institution that grants bachelor's degrees. Web learn how the university of chicago evaluates and grants transfer credit for students who transfer from another institution. Web learn how to apply. College Transfer Report Uchicago.
From www.bizzlibrary.com
College Transfer Essay Template Expert Tips and Examples for an College Transfer Report Uchicago Web learn how to get transfer credit for courses from an accredited institution that grants bachelor's degrees. Web learn how the university of chicago evaluates and grants transfer credit for students who transfer from another institution. Web transfer students are required to submit a college/transfer report indicating their academic standing at their current or most. Find out the deadlines, requirements,. College Transfer Report Uchicago.
From www.researchgate.net
(PDF) The Community College Transfer Calculator Identifying the Course College Transfer Report Uchicago Web learn how the university of chicago evaluates and grants transfer credit for students who transfer from another institution. Web transfer students are required to submit a college/transfer report indicating their academic standing at their current or most. Web learn how to get transfer credit for courses from an accredited institution that grants bachelor's degrees. Find out the deadlines, requirements,. College Transfer Report Uchicago.
From www.allbusinesstemplates.com
College Transfer Essay Templates at College Transfer Report Uchicago Web learn how to apply to transfer to the university of chicago, a highly selective institution with a low acceptance rate of 13.6%. Web learn how the university of chicago evaluates and grants transfer credit for students who transfer from another institution. Web learn how to get transfer credit for courses from an accredited institution that grants bachelor's degrees. Web. College Transfer Report Uchicago.
From www.thatsnotus.com
006 Examples Of College Essays For Common App Application Transfer College Transfer Report Uchicago Web learn how the university of chicago evaluates and grants transfer credit for students who transfer from another institution. Web learn how to get transfer credit for courses from an accredited institution that grants bachelor's degrees. Web transfer students are required to submit a college/transfer report indicating their academic standing at their current or most. Web learn how to apply. College Transfer Report Uchicago.
From myresult9166.blogspot.com
Rtu college transfer , condition for college transfer and other College Transfer Report Uchicago Web learn how the university of chicago evaluates and grants transfer credit for students who transfer from another institution. Web learn how to apply to transfer to the university of chicago, a highly selective institution with a low acceptance rate of 13.6%. Find out the deadlines, requirements, essays, and tips for a successful transfer application. Web learn how to get. College Transfer Report Uchicago.